5 תשובות
שואל השאלה:
הפתרון לא כל כך ברור אבל תודה בכל זאת :)
הפתרון לא כל כך ברור אבל תודה בכל זאת :)
אנונימית
נקודה: ( 4, 2 - )
שיפוע: (צריך לסדר את המשוואה)
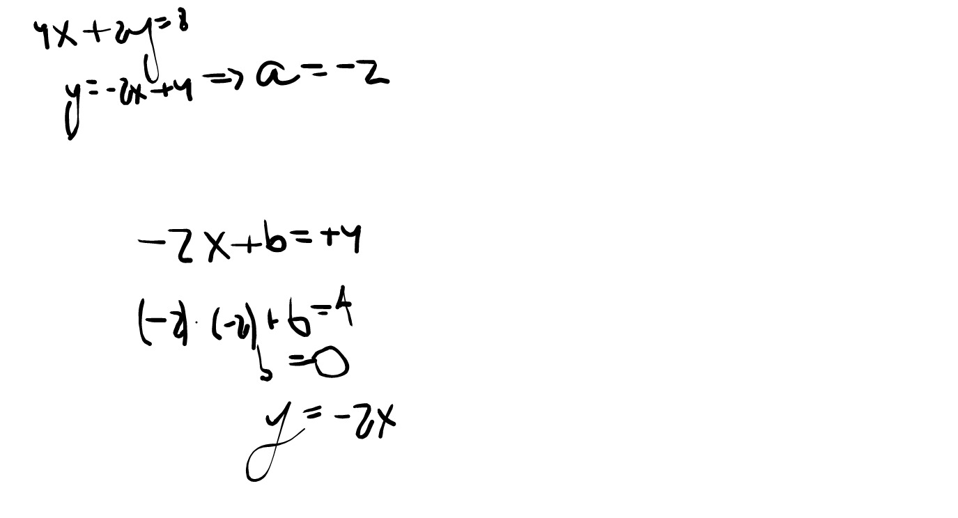
2y=-4x+8
y=-2x+4
מקביל = שיפוע שווה. שיפוע -2x
4=-2 * -2 + b
b + 4 = 4
b = 4 - 4
b = 0
(עובר בראשית הצירים)
y= -2x
צריך להציב את הנקודות במקומות המתאימים במשוואה ולחשב.
שיפוע: (צריך לסדר את המשוואה)
2y=-4x+8
y=-2x+4
מקביל = שיפוע שווה. שיפוע -2x
4=-2 * -2 + b
b + 4 = 4
b = 4 - 4
b = 0
(עובר בראשית הצירים)
y= -2x
צריך להציב את הנקודות במקומות המתאימים במשוואה ולחשב.
שואל השאלה:
דבר ראשון זה לא ש. ב
דבר שני יש לי מחר מבחן ואני בסהכ הכל רוצה לדעת שאני צודקת כדי שבמבחן אני לא יטעה.!
דבר ראשון זה לא ש. ב
דבר שני יש לי מחר מבחן ואני בסהכ הכל רוצה לדעת שאני צודקת כדי שבמבחן אני לא יטעה.!
אנונימית
אולי כדי שתלמדי לבד במקום שיעשו לך פה את הש. ב?
באותו הנושא: