3 תשובות
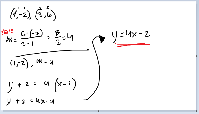
אני לא יגיד לך תתשובה המלאה כי אין לי כוח אבל הדרך היא למצוא שיפוע על ידי הנוסחה y מינוס y חלקי x מינוס x ואז להצציב נקודה אחת ואת השיפוע בנוסחה של משוואת ישר
אנונימי
http://sketchtoy.com/68401231
באותו הנושא: